Document Page: First | Prev | Next | All | OCR | This Release | Search

File: 091896_aug96_decls19_0001.gif
Page: 0001
Total Pages: 4


Document Page: First | Prev | Next | All | OCR | This Release | Search


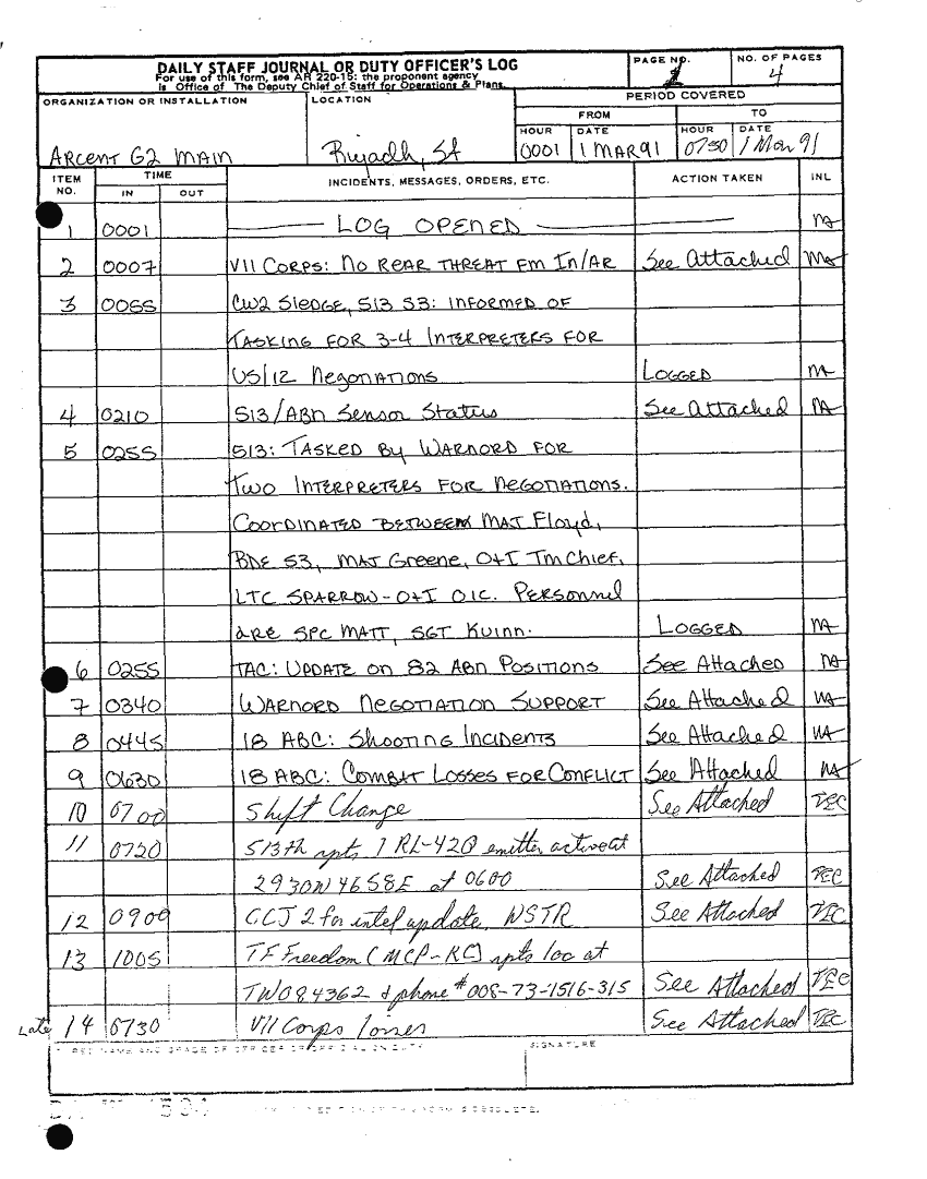
Document 4 f:/Week-31/BX000464/DAILY JOURNAL FEB 91 THRU MAR 91/arcent g2 main 1 mar 91:09139616131239
Control Fields 17
File Room = aug96_declassified
File Cabinet = Week-31
Box ID = BX000464
Unit = ARCENT
Parent Organization = CENTCOM
Folder Title = DAILY JOURNAL FEB 91 THRU MAR 91
Folder Seq # = 6
Subject = ARCENT G2 MAIN 1 MAR 91
Document Seq # = 39
Document Date =
Scan Date = 07-AUG-1996
Queued for Declassification = 01-JAN-1980
Short Term Referral = 01-JAN-1980
Long Term Referral = 01-JAN-1980
Permanent Referral = 01-JAN-1980
Non-Health Related Document = 01-JAN-1980
Declassified = 13-SEP-1996