Document Page: First | Prev | Next | All | OCR | This Release | Search

File: 052296_mar_decls2_0001.gif
Page: 0001
Total Pages: 1


Document Page: First | Prev | Next | All | OCR | This Release | Search


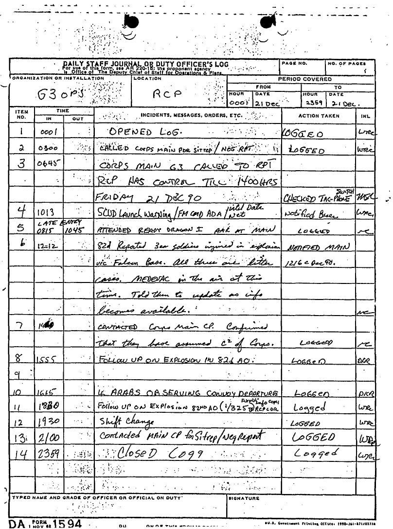
Document 1 f:/Week-10/BX000020/DUTY LOG G3 REAR CHIEF OF OPERATIONS DUTY LOG/daily staff journal or duty officers log 21 dec :05039613321913
Control Fields 17
File Room = mar96_declassified
File Cabinet = Week-10
Box ID = BX000020
Unit = XVIII CORPS
Parent Organization = ARCENT
Folder Title = DUTY LOG G3 REAR CHIEF OF OPERATIONS DUTY LOG
Folder Seq # = 4
Subject = DAILY STAFF JOURNAL OR DUTY OFFICERS LOG 21 DEC 90
Document Seq # = 45
Document Date = 01-JAN-1980
Scan Date = 27-MAR-1996
Queued for Declassification = 01-JAN-1980
Short Term Referral = 01-JAN-1980
Long Term Referral = 01-JAN-1980
Permanent Referral = 01-JAN-1980
Non-Health Related Document = 01-JAN-1980
Declassified = 03-MAY-1996