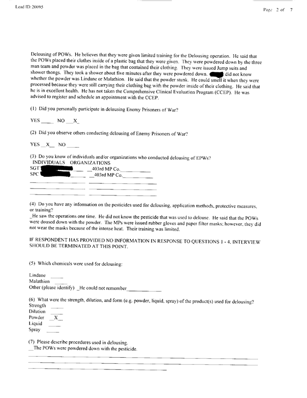
Lead Sheet #20095, Interview with 403rd Military Police Camp veteran, November 24, 1998.

| First Page | Prev Page | Next Page | Back to Text |