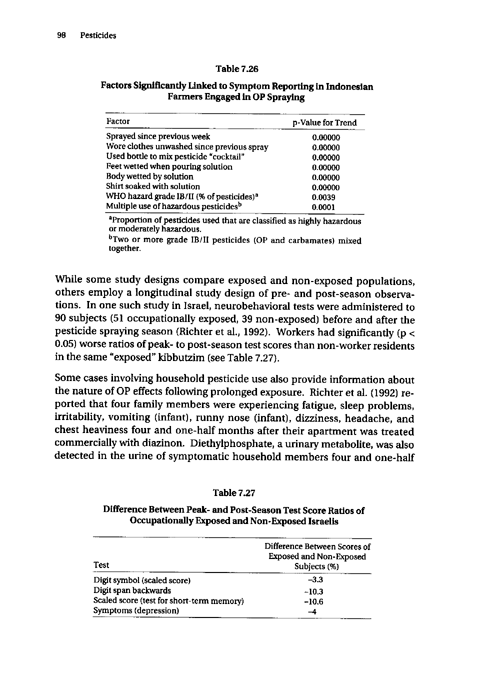
Cecchine, G., et al., �A Review of the Scientific Literature as it Pertains to Gulf War Illnesses: Pesticides,� vol. 8, RAND, 2000, p. 87-107.

| First Page | Prev Page | Next Page | Back to Text |