Document Page: First | Prev | Next | All | OCR | This Release | Search

File: 100896_sep96_decls5_0003.gif
Page: 0003
Total Pages: 27


Document Page: First | Prev | Next | All | OCR | This Release | Search


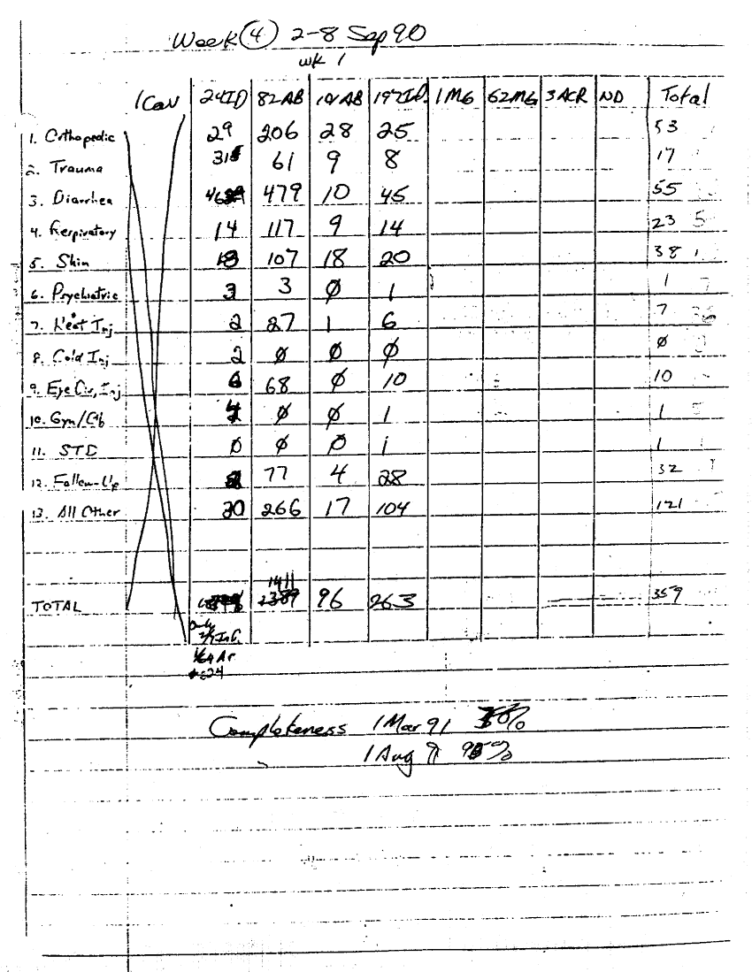
Document 27 f:/Week-36/BX003204/ODS MEDICAL SURVEILLANCE OF XVIII AIRBORNE CORPS/weekly medical surveillance report:100196133412
Control Fields 17
File Room = sep96_declassified
File Cabinet = Week-36
Box ID = BX003204
Unit = OTSG
Parent Organization = HSC
Folder Title = ODS MEDICAL SURVEILLANCE OF XVIII AIRBORNE CORPS
Folder Seq # = 1
Subject = WEEKLY MEDICAL SURVEILLANCE REPORT
Document Seq # =
Document Date =
Scan Date =
Queued for Declassification = 01-JAN-1980
Short Term Referral = 01-JAN-1980
Long Term Referral = 01-JAN-1980
Permanent Referral = 01-JAN-1980
Non-Health Related Document = 01-JAN-1980
Declassified = 01-OCT-1996