Document Page: First | Prev | Next | All | OCR | This Release | Search

File: 082696_d50028_082.gif
Page: 082
Total Pages: 274


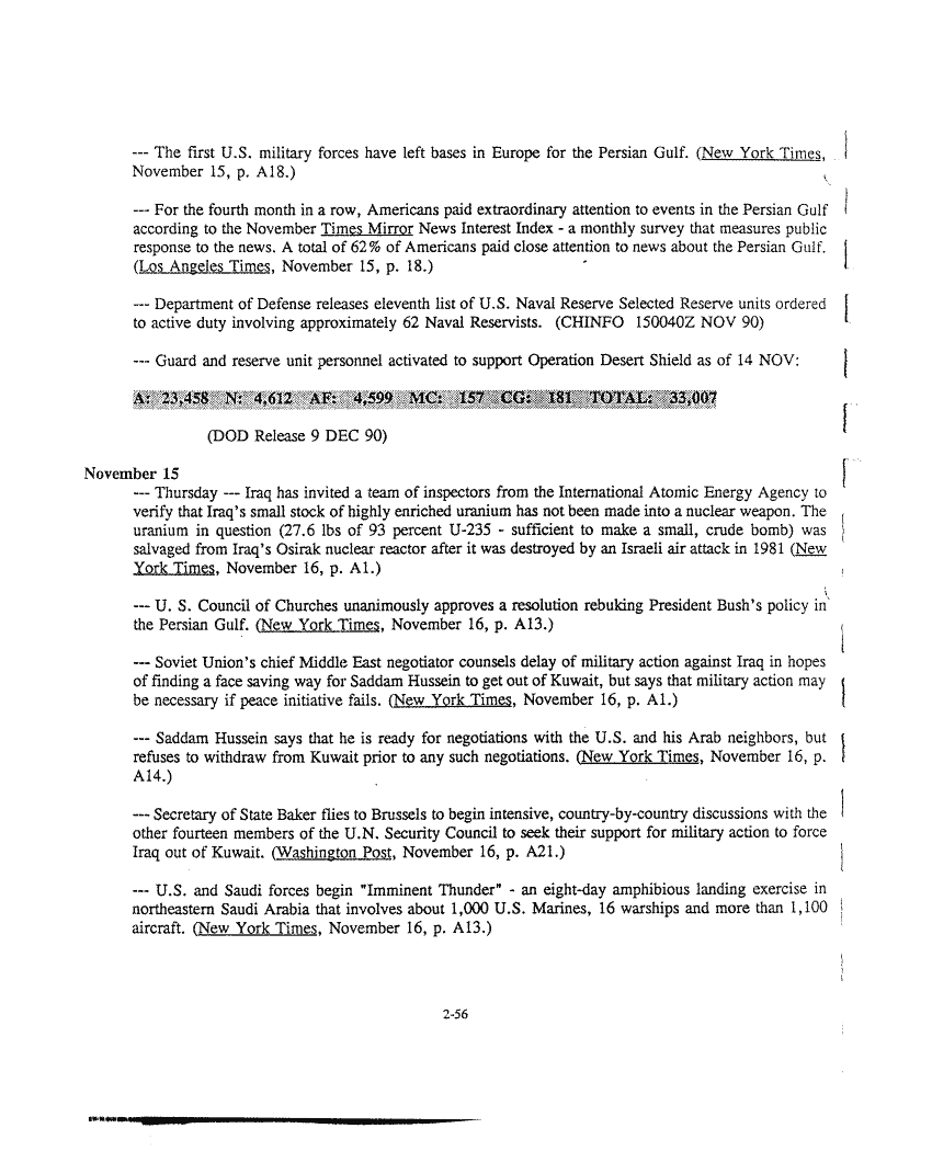
Document Page: First | Prev | Next | All | OCR | This Release | Search