Document Page: First | Prev | Next | All | OCR | This Release | Search

File: 970107_mar96_decls5_0010.gif
Page: 0010
Total Pages: 21


Document Page: First | Prev | Next | All | OCR | This Release | Search


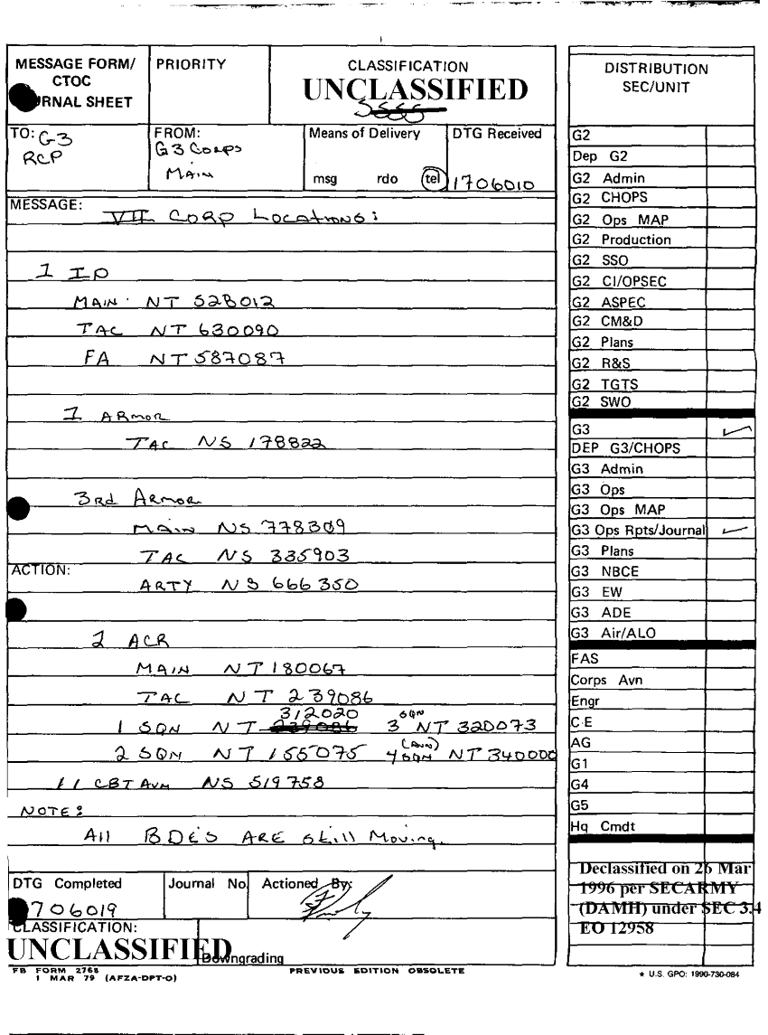
Document 21 f:/Week-09/BX000019/DUTY LOG G3 REAR 17 FEB 91/message form ctoc journal sheet:01029715525413
Control Fields 17
File Room = mar96_declassified
File Cabinet = Week-09
Box ID = BX000019
Unit = XVIII CORPS
Parent Organization = ARCENT
Folder Title = DUTY LOG G3 REAR 17 FEB 91
Folder Seq # = 66
Subject = MESSAGE FORM CTOC JOURNAL SHEET
Document Seq # = 2
Document Date =
Scan Date =
Queued for Declassification = 01-JAN-1980
Short Term Referral = 01-JAN-1980
Long Term Referral = 01-JAN-1980
Permanent Referral = 01-JAN-1980
Non-Health Related Document = 01-JAN-1980
Declassified = 02-JAN-1997