Document Page: First | Prev | Next | All | OCR | This Release | Search

File: 110596_jun96_decls13_0003.gif
Page: 0003
Total Pages: 11


Document Page: First | Prev | Next | All | OCR | This Release | Search


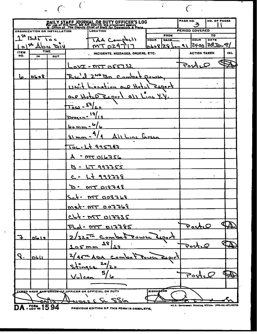
Document 11 f:/Week-22/BX001605/101ST ABN DIV AASLT DUTY LOG JAN 91-F/daily staff journal:110496091422126
Control Fields 17
File Room = jun96_declassified
File Cabinet = Week-22
Box ID = BX001605
Unit = 101ST ID
Parent Organization = XVIII CORPS
Folder Title = 101ST ABN DIV AASLT DUTY LOG JAN 91-F
Folder Seq # = 60
Subject = DAILY STAFF JOURNAL
Document Seq # = 18
Document Date =
Scan Date =
Queued for Declassification = 01-JAN-1980
Short Term Referral = 01-JAN-1980
Long Term Referral = 01-JAN-1980
Permanent Referral = 01-JAN-1980
Non-Health Related Document = 01-JAN-1980
Declassified = 04-NOV-1996