Document Page: First | Prev | Next | All | OCR | This Release | Search

File: 082896_apr96_decls1_0002.gif
Page: 0002
Total Pages: 53


Document Page: First | Prev | Next | All | OCR | This Release | Search


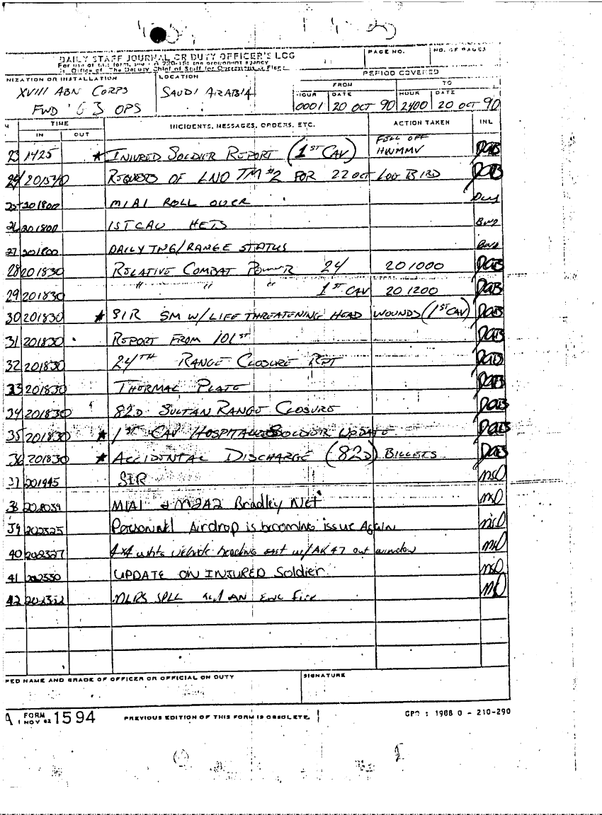
Document 53 f:/Week-13/BX000002/DUTY LOG MAIN CP G3 20 OCT 90/daily staff journal log:0823961435301
Control Fields 17
File Room = apr96_declassified
File Cabinet = Week-13
Box ID = BX000002
Unit = XVIII CORPS
Parent Organization = ARCENT
Folder Title = DUTY LOG MAIN CP G3 20 OCT 90
Folder Seq # = 56
Subject = DAILY STAFF JOURNAL LOG
Document Seq # = 1
Document Date =
Scan Date = 05-APR-1996
Queued for Declassification = 01-JAN-1980
Short Term Referral = 01-JAN-1980
Long Term Referral = 01-JAN-1980
Permanent Referral = 01-JAN-1980
Non-Health Related Document = 01-JAN-1980
Declassified = 23-AUG-1996