Document Page: First | Prev | Next | All | OCR | This Release | Search

File: 072496_may96_decls9_0039.gif
Page: 0039
Total Pages: 79


Document Page: First | Prev | Next | All | OCR | This Release | Search


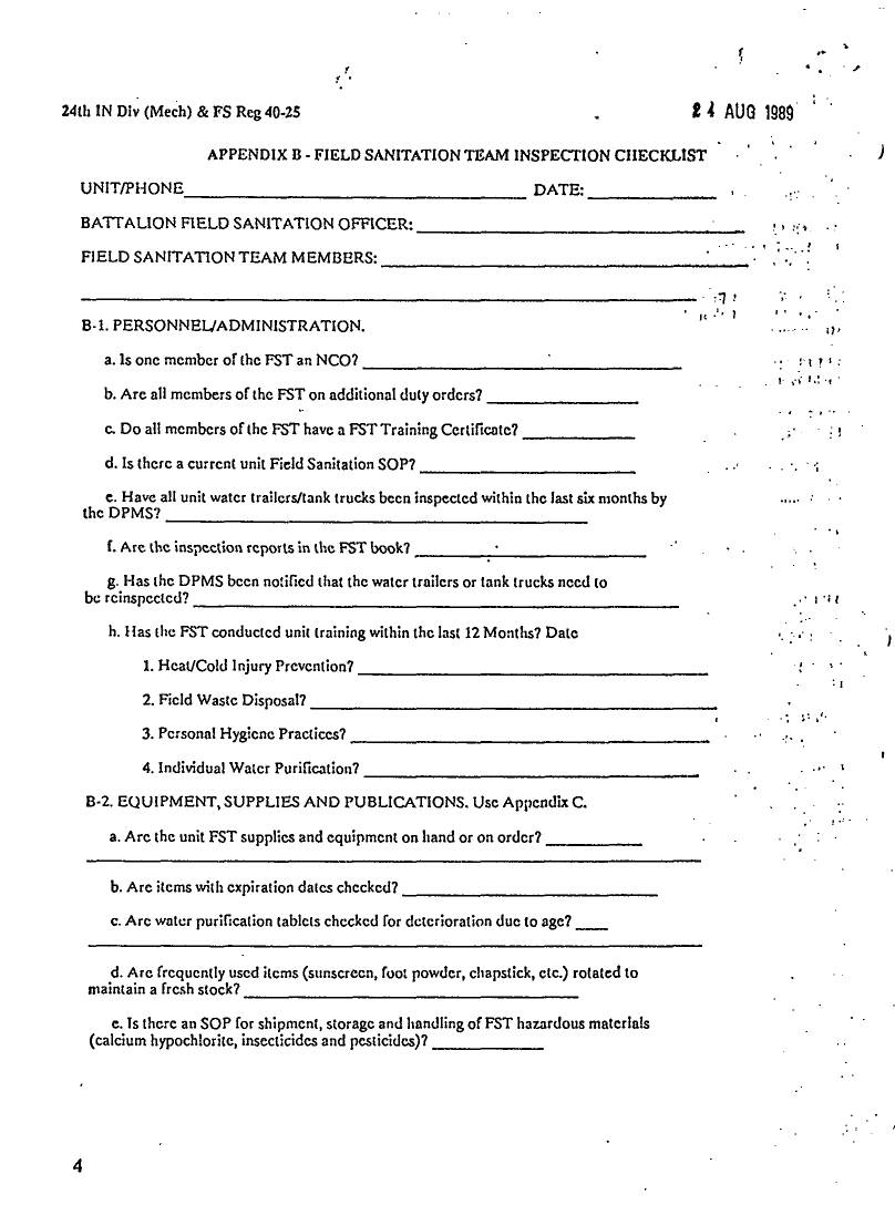
Document 79 f:/Week-22/BX001433/MEDICAL REPORTING-DIVISION SURGEON/medical reporting 14 aug 90:07199610201768
Control Fields 17
File Room = may96_declassified
File Cabinet = Week-22
Box ID = BX001433
Unit = 24TH ID
Parent Organization = XVIII CORPS
Folder Title = MEDICAL REPORTING-DIVISION SURGEON
Folder Seq # = 5
Subject = MEDICAL REPORTING 14 AUG 90
Document Seq # = 68
Document Date =
Scan Date =
Queued for Declassification = 01-JAN-1980
Short Term Referral = 01-JAN-1980
Long Term Referral = 01-JAN-1980
Permanent Referral = 01-JAN-1980
Non-Health Related Document = 01-JAN-1980
Declassified = 19-JUL-1996