Document Page: First | Prev | Next | All | OCR | This Release | Search

File: 060596_apr_decls23_0097.gif
Page: 0097
Total Pages: 97


Document Page: First | Prev | Next | All | OCR | This Release | Search


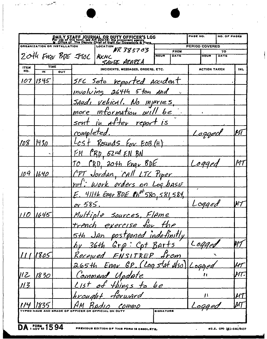
Document 97 f:/Week-18/BX000059/REAR CP FILE 20 EN BDE 28 FEB 91/message information update:05309618571765
Control Fields 17
File Room = apr96_declassified
File Cabinet = Week-18
Box ID = BX000059
Unit = XVIII CORPS
Parent Organization = ARCENT
Folder Title = REAR CP FILE 20 EN BDE 28 FEB 91
Folder Seq # = 84
Subject = MESSAGE INFORMATION UPDATE
Document Seq # = 6
Document Date = 01-JAN-1980
Scan Date = 15-MAY-1996
Queued for Declassification = 01-JAN-1980
Short Term Referral = 01-JAN-1980
Long Term Referral = 01-JAN-1980
Permanent Referral = 01-JAN-1980
Non-Health Related Document = 01-JAN-1980
Declassified = 30-MAY-1996