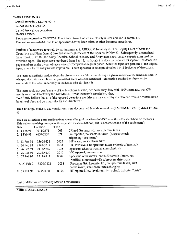
Lead Sheet #764, Interview of Fox expert, Chemical and Biological Defense Command, May 28, 1996, p. 2.

| First Page | Prev Page | Next Page | Back to Text |