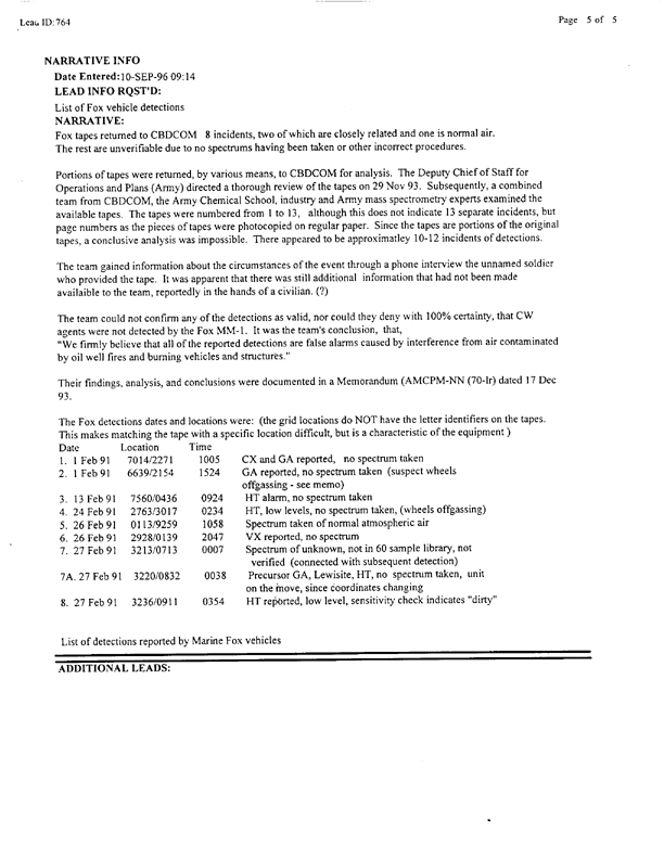
Lead Sheet 764, Interview of Fox expert, CBDCOM, May 28, 1996.

| First Page | Prev Page | Next Page | Back to Text |